Par: Colin Jessup
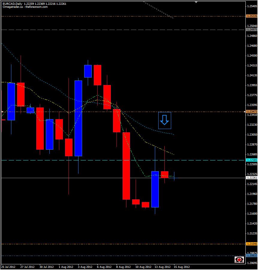
Hier, la paire EUR/CAD a de nouveau tenté de briser le niveau 1.2250, sans y parvenir. Lundi, une figure d'avalement haussier s'est formée à partir du creux record à 1.2160 mais n'est pas parvenue à clôturer au-dessus de la résistance à 1.2250, et a dans le même temps formé une figure de renversement dont Huzefa Hamid a parlé récemment ici-même chez Daily Forex. C'est une figure puissante qui, lorsqu'elle se forme au bon endroit, est une forte indication des cours à venir ; dans le cas présent, d'une baisse du cours. Le premier point où le cours s'arrêtera dans sa chute éventuelle sera le creux précédent à 1.2160… Si ce niveau est brisé, nous sommes en territoire inconnu et devons utiliser les pivots et les niveaux de Fibonacci pour nous guider quant à la direction de la paire. Il y a 3 niveaux clés en-dessous, les niveaux de support et mensuels. Le S1 mensuel est à 1.2104, le S1 hebdomadaire est à 1.2083 et le S2 hebdomadaire à 1.1994. Le dollar canadien s'est renforcé dernièrement, avec des signes de reprises économiques, grâce en particulier au cours plus élevé du pétrole. Si le pétrole continue de grimper, et il le fera certainement, le CAD continuera de se renforcer face à la plupart des autres devises. Si ce n'est pas le cas, on regardera les niveaux de résistance pour nous donner une idée de la direction de la paire, si celle-ci clôture au-dessus de 1.2250. Tout d'abord, il y aura la R1 hebdomadaire à 1.2347 suivie du pic d'août à 1.2442, puis du pivot hebdomadaire et de la R2 hebdomadaire à 1.2497 et 1.2522. Le pivot mensuel et la R2 hebdomadaire se situant en pleins niveaux de Fibonacci à 38.2% et 50%, en se basant sur les niveaux de juillet/août, c'est une cible de choix. Également, la moyenne mobile exponentielle à 62 jours se situe à ce niveau, fournissant une autre forme de résistance.
Bon trading !
